A modern borász szinte mindent szeretne tudni a boráról, akárcsak az orvosok a betegeikről, talán ezért is tört be a borászatba az orvostudomány számára kifejlesztett automata analizátorok különböző generációja. Egy ilyen analizátorral akár 30 féle szerves és szervetlen anyag mérését lehet kivitelezni egyszerűen, csak a megfelelő reagens készletet kell hozzá megadni.
Sorozatunkban bemutatjuk a bor és must legfontosabb komponenseit, amelyeket egyszerűen lehet mérni egy ilyen típusú automata analizátorral és ennek köszönhetően, eddig nem látott szinten követni a borban végbemenő bonyolult biokémiai folyamatokat és szükség esetén beavatkozni a szükséges időpontban. Az ilyen precíz technika segítségével csökkenthetőek a veszteségek és növelhető a minőségi borok része a végtermékként.

A must és a bor savanykás ízét a benne lévő savak okozzák. A savak minősége és mennyisége szabályozza a sav-bázis egyensúlyt, ezen keresztül a bor savas ízét. A bornak nem csak a savanykás íze, de eltarthatósága, a betegségei is sokban a benne lévő savaktól függnek. A profi borászok szerint, kevés tudni az összes-savtartalmat, annak változását a technológiai folyamatok alatt, fontos a „szereplők” vagyis a különböző savak koncentrációjának az ismerete is, mert ezek a savak aránya erősen kihat a végtermék minőségére.
A bor legfontosabb savai, amelyek minden borban megtalálhatóak a borkősav, az almasav, a citromsav, a tejsav, a borostyánkősav és az ecetsav.
A borba a savak három forrásból kerülnek:
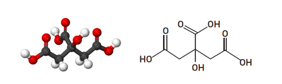
L-borkősav C4H6O6

A szőlő és a bor jellegzetes sava, a szőlőn kívül nagyon kevés növényben található. A szőlő érése folyamán változik a borkősav és az almasav aránya, de az érett termésben túlsúlyban van a borkősav. A mustokban 4 – 8 g/l borkősav található.
A borkősav a bor legerősebb sava, erősen disszociált, tehát egyenlő koncentrációban a legjobban növeli a hidrogénionok mennyiségét és csökkenti a bor pH értékét. Az alacsony pH érték utalhat a magasabb borkősav tartalomra. A borkősav a szőlő három sava közül a legellenállóbb a baktériumok lebontó tevékenységével szemben. Nagy mennyiségben a bort keménnyé, élessé teszi, így a kiváló minőségű borok általában szegényebbek borkősavban. Az erjedés alatt a borkősav mennyisége csökken a borkő (kálium-bitartarát) kicsapódása miatt. A növekvő alkoholtartalom miatt, csökken a borkő oldhatósága és ezért kicsapódik. Ilyen jelenséget (borkő kicsapódást) néha megfigyelhetünk fiatal borokban, akár palackozás után a palackok falán is. Fontossága miatt a technológiai folyamatok alatt kontrollálni kell a koncentráció változását. A gyakorlati mérések elvégezhetőek egyszerű foto-kolorimetriás mérési módszerrel.
L-almasav C4H6O5

Szerves sav, természetes módon jelen van a mustban és a borban (kezdeti koncentrációja körülbelül 1,5 g / l és 3,5 g/l között). Szerepet játszik a szőlő érettségi állapotának meghatározásában, sőt a borok minőségében is. Az almasav a szőlőből származik, maximális mennyiségét szintén a must almasav tartalma szabja meg. Minimális mennyisége akár nulla vagy csaknem nulla is lehet, mert a zöld szőlőtől az érett borig állandóan csökken az érési, alkoholos és malolaktikus erjedési folyamatokon keresztül. Az erjedés alatt egy részét az élesztők alkohollá és szén-dioxiddá erjeszthetik, ugyanakkor megkezdődhet malolaktikus erjedése is, ezáltal az almasav akár teljesen átalakulhat tejsavvá és szén-dioxiddá.
Ha mérjük az almasav koncentrációját a szőlőben, akkor meg tudjuk határozni az érés folyamatának a fázisát és azt követően, az almasav-tejsavas erjesztés után, kimutatni a fermentáció végét is. A D- almasav jelenléte nagyobb savasságot ad a boroknak az almasav fermentáció után. D izomer stabilabb és ellenáll a metabolizálásnak az almasav baktériumok által. Mind az L , úgy a D izomerek koncentrációja mérhető fotometrikus módszerrel megfelelő reagens készlet alkalmazásával.
Citromsav C6H8O7

Szerves sav, természetes módon jelen van a borban, mennyisége 1 g/l koncentráció alatt található. Hozzájárul az összes savtartalom kialakulásához és az a különleges tulajdonsága, hogy bevonja a vas-iont egy oldható komplex anionba. A citromsav ecetsavvá és diacetil – savvá változhat tejsav baktériumok által kiváltott fermentáción keresztül. Viszont ezek a vegyületek már nem kívánatosak a borokban.
Az analízist azért végezzük, hogy meghatározzuk a sav koncentrációját majd értékelhessük a sav részesedését az összes-savtartalomban. A hagyományos tesztek enzimatikus úton végzendőek (nagyon egyszerű) vagy HPLC módszerrel (bonyolultabb).
Tejsav C3H6O3

A tejsav a bornak az a sava, amely a malolaktikus erjedés( L(+) – tejsav) folyamán keletkezik, de rendellenességeknél, borbetegségeknél bakteriális tevékenység eredményeként is termelődik ( D(-)-tejsav). Viszont az állandóan kénezett borokban, amelyekben a kénessav tartalom meggátolja a baktériumok által előidézett folyamatokat, csak az erjedés alatt termelődött tejsav mennyiség marad, ami kb. 1 g/l .
Az L(+)-tejsavat a malolaktikus erjedés elején azért mérik, hogy lássák a beoltás működik-e. A D- tejsav jelenlétét azért kell mérni, mert jelenléte rossz ízt ad a bornak.
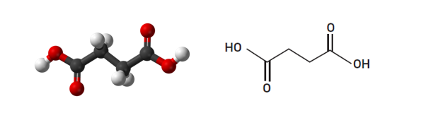
Borostyánkősav C4H6O4

Az alkoholos erjedés másodlagos terméke. Jellegzetes a komplex, sós-keserű-savanyú ízével, szerepe van az úgynevezett bor íz kialakulásában, a bor legtöbb ízét adó sava. Fontos fiziológiai szerepe is van.
Ecetsav C2H4O2

Az ecetsav az etil alkohol oxidációjából származik és az illékony savak 95% teszi ki a borban. Az illékony savasság a bor egészségéről nyújt információt, akár az örökölt betegségről, rossz borkészítési technológiáról, vagy a hibás tárolásról. Az optimális koncentráció 0.2-től 0.7-ig változik g / l , sok szabvány az alkohol tartalom függvényében megenged akár 1 g / l mennyiséget.
A hagyományos analitikai módszer az ecetsav meghatározására, vízgőz-desztillációs elválasztáson alapszik és sokkal bonyolultabb, mint az automatizált enzimes fotometrikus módszer.
D- Glükonsav C6H1

Szerves sav, amely a glükózból termelődik az aldehid funkciós csoport oxidálása által , a penészgombákban jelen lévő enzimek segítségével. A glükonsav jelenléte azt bizonyítja, hogy az édes bor nemesrothadású szőlőből származik. Az egészséges szőlőkből előállított mustban és borban csak igen alacsony szinten van a glükonsav (120 mg/l). A nemesrothadáson átesett szőlőkből származó édes borok tartalmazhatnak akár 2,5 g/l glükonsavat.
Az elemzést a nyersanyagban, a mustban és a borban végezzük. Nagyon fontos minőségi információ az importőrök és a felhasználók számára, akik különböző eredetű szőlőkkel dolgoznak. Az enzimatikus analitikai módszer gyorsabb és pontosabb mint a régebben használt módszer.
Piroszőlősav C3H4O3

Szerves sav, amely a glicero-piruvát erjesztési folyamat eredményeként termelődik. Ha a fermentáció nem tiszta alkoholos erjedést biztosit, a cukor molekulák egy része glicerinné és piroszőlősavvá változik a glicero-purivát fermentációs ciklusban. A piroszőlősav meghatározása nagyon fontos a fermentációs folyamat ellenőrzésénél, különösen annak fényében, hogy könnyen reagál az SO2-vel.
A felsorolt savak, mind nagyon fontos szerepet játszanak bor előállításának folyamataiban.
Természetes a kérdés a felhasználó szemszögéből:
Íme egy tökéletes példa, egy általunk forgalmazott mérőműszerre:ONE Borászati fotométer

ONE félautomata borászati analizátor kompakt kisméretű, egyszerű, de nagy tudású fotométer a kémiai, enzimatikus és kolorimetrikus mérések elvégzésére az élelmiszer- és italgyártás ( borászat) területén, és nagyon hasznos a termelés minden fázisának az ellenőrzése során és a végtermék (bor) minőségének az ellenőrzésénél.
A ONE analizátor az előreprogramozott több alkalmazási eljárás segítségével képes egyszerű lépésekre lebontva végig vezetetni a felhasználót a mérési fázisokon, megkönnyítve a felhasználó munkáját.
A ONE memóriájában az alábbi módszerek vannak előreprogramozva:
borkősav, L és D-tejsav, L és D-Almasav, D-glükonsav, citromsav, ecetsav, piroszőlősav , L-aszkorbinsav, szabad és összes SO2, ammónium-nitrogén és α-amino nitrogén, antociánok, kalcium, katekin, kloridok, szín, réz, vas, magnézium, kálium, glükóz-fruktóz, glicerin, acetaldehid, szacharóz, teljes polifenolok.
ELŐNYEI
Gyakran küldünk olyan ajánlatot, amit csak hírlevélfeliratkozóként érsz el (pl. 10%-os kedvezmény a termékeinkre, szolgáltatásainkra). Megéri feliratkozni, mert jár hozzá egy tanulmány borászati mérésekről.
Ha érdekel a ONE fotométer, akkor nincs más dolgod, mint kattintani az MUTASD gombra.
Lorem ipsum dolor sit amet, consectetur adipiscing elit. Aenean diam dolor, accumsan sed rutrum vel, dapibus et leo.
*A lista megrendelésével egyben elfogadod, hogy a továbbiakban e-maileket fogadj a moderngazda.hu-tól. Bármikor leiratkozhatsz egyetlen kattintással. Adataidat harmadik félnek nem adjuk ki. Adatkezelőként a Nemzeti Adatvédelmi és Információszabadság Hatóság NAIH-61059/2012. számon tart nyilván minket.









